-
Causal Record Linkage
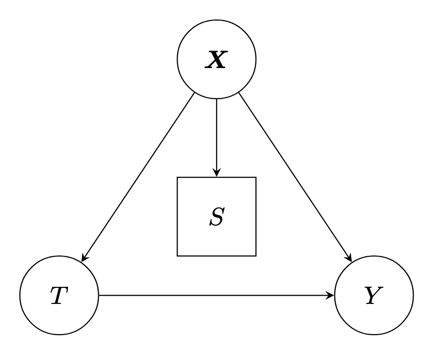
Causal Inference on linked data when? and how?
-
False Discovery Estimation in Record Linkage
A method for estimating the FDP in RL
-
Flexible Record Linkage
A STochastic Expectation Maximisation approach to Record Linkage
-
When random matrix theory meets theoretical ecology
Study of the phase transition phenomena for the feasibility, Volterra Lyapunov stability and P-property in Lotka Volterra models